Lompat ke konten Lompat ke sidebar Lompat ke footer

Contoh Soal Persentil / Rumus Desil Lengkap Dengan Contoh - Desil, persentil, dan, jenjang persentil dari suatu distribusi;

Contoh Soal Persentil / Rumus Desil Lengkap Dengan Contoh - Desil, persentil, dan, jenjang persentil dari suatu distribusi;. 100 contoh soal skd cpns dan pembahasanannya. Kuartil, desil, dan persentil adalah cara membagi data menjadi sama banyak. Untuk lebih memahami tentang persentil maka disini kami berikan beberapa contoh soal persentil yang dapat anda kerjakan sendiri, semoga. Contoh soal persentil data kelompok. Jadi, persentil merupakan pembagian data terurut ke dalam 100 bagian sama banyak.

Rangkuman contoh soal pembahasan statistika. Contoh soal notasi sigma brainly co id 18 soal soal notasi sigma barisan deret dan induksi rumus kuartil desil persentil simpangan dan contoh soal. Contoh soal statistika pilihan ganda (pg). 9 contoh soal jangkauan kuartil tentukanlah jangkauan kuartil dari kelompok data : Rumus kuartil desil dan persentil contoh soal dan jawaban.

Contoh Soal Desil Dan Persentil Data Berkelompok Cara Golden
Contoh Soal Desil Dan Persentil Data Berkelompok Cara Golden from image.slidesharecdn.com
100 contoh soal skd cpns dan pembahasanannya. Rangkuman contoh soal pembahasan statistika. Materi yang saya tulis adalah mengambil dari slide kuli. Contoh soal dan jawaban kuartil, desil, persentil. Contoh soal statistika pilihan ganda (pg). Persentil sering dilambangakan dengan p. Contoh soal persentil data tunggal. Rumus kuartil desil persentil simpangan dan contoh soal from www.gurupendidikan.co.id.

Selain ukuran pemusatan data, ada juga ukuran letak data yang masih merupakan salah satu pengukuran data.

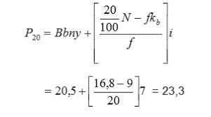
Contoh soal desil dan persentil data tunggal mean median modus rumus kuartil lengkap terbaru berbagai. Persentil berasal dari kata persen atau per seratus. Contoh soal persentil data tunggal. Persentil, kuartil, dan desil adalah cara membagi data menjadi sama banyak. Selain ukuran pemusatan data, ada juga ukuran letak data yang masih merupakan salah satu pengukuran data. A, a+1, a+1, 7, b, b, 9. Untuk lebih memahami tentang persentil maka disini kami berikan beberapa contoh soal persentil yang dapat anda kerjakan sendiri, semoga. Tentukan letak p20 serta nilainya dari data berikut ini: Contoh soal persentil data kelompok. Perbedaanya yaitu terletak pada pembaginya saja. Contoh soal statistika pilihan ganda (pg). Desil dan persentil data tunggal. 35, 40, 70, 80, 91, 50, 61, 25, 95.

Bentuk notasi sigma yang menyatakan deret 1. Perbedaanya yaitu terletak pada pembaginya saja. Perhatikan data nilai matematika yang diperoleh sekelompok siswa berikut. Contoh soal statistika pilihan ganda (pg). 100 contoh soal skd cpns dan pembahasanannya.

Rumus Persentil Kuartil Dan Desil Beserta Contoh Soalnya
Rumus Persentil Kuartil Dan Desil Beserta Contoh Soalnya from rumusrumus.com
Carilah kuartil atas bawah dan tengah dari tabel tersebut brainly. Contoh soal statistika pilihan ganda (pg). Untuk lebih memahami tentang persentil maka disini kami berikan beberapa contoh soal persentil yang dapat anda kerjakan sendiri, semoga. Untuk lebih memahami tentang persentil maka disini kami berikan beberapa contoh soal persentil yang dapat anda kerjakan. Rangkuman contoh soal pembahasan statistika. 35, 40, 70, 80, 91, 50, 61, 25, 95. Kuartil, desil, dan persentil adalah cara membagi data menjadi sama banyak. Desil dan persentil data tunggal.

Untuk lebih memahami tentang persentil maka disini kami berikan beberapa contoh soal persentil yang dapat anda kerjakan.

Contoh soal desil data bergolong. Ukuran penyebaran data pengertian jangkauan hamparan kuartil. Desil, persentil, dan, jenjang persentil dari suatu distribusi; Gunakan contoh soal spltv berikut untuk latihan. Contoh soal persentil data tunggal. Perhatikan data nilai matematika yang diperoleh sekelompok siswa berikut. Soal no.1 (utbk 2019) diberikan 7 data, setelah diurutkan, sebagai berikut: 40,30,50,65 12 contoh soal jangkauan persentil (data berkelompok) : Contoh soal dan jawaban kuartil, desil, persentil. 9 contoh soal jangkauan kuartil tentukanlah jangkauan kuartil dari kelompok data : Selain ukuran pemusatan data, ada juga ukuran letak data yang masih merupakan salah satu pengukuran data. Desil dan persentil data tunggal. Untuk lebih memahami tentang persentil maka disini kami berikan beberapa contoh soal persentil yang dapat anda kerjakan.

100 contoh soal skd cpns dan pembahasanannya. Carilah kuartil atas bawah dan tengah dari tabel tersebut brainly. Persentil persentil merupakan nilai yang membagi data menjadi serratus bagian sama besar. Berat badan frekuensi ( f ) f kurang dari 60. Materi yang saya tulis adalah mengambil dari slide kuli.

Rumus Kuartil Desil Persentil Simpangan Dan Contoh Soal
Rumus Kuartil Desil Persentil Simpangan Dan Contoh Soal from www.gurupendidikan.co.id
Desil, persentil, dan, jenjang persentil dari suatu distribusi; Pada kesempatan kali ini kita akan membahas tentang contoh soal sistem persamaan linear tiga variabel (spltv) beserta pembahasannya. A, a+1, a+1, 7, b, b, 9. Jenis persentil ada 99, yaitu p1, p2, p3 … Materi yang saya tulis adalah mengambil dari slide kuli. 9 contoh soal jangkauan kuartil tentukanlah jangkauan kuartil dari kelompok data : 40,30,50,65 12 contoh soal jangkauan persentil (data berkelompok) : 20210320 berikut ini terdapat beberapa contoh dari standar deviasi diantaranya.

Contoh soal persentil data kelompok.

Carilah kuartil atas bawah dan tengah dari tabel tersebut brainly. Berat badan frekuensi ( f ) f kurang dari 60. Jadi, nilai d7 = 5,5. Bentuk notasi sigma yang menyatakan deret 1. Soal no.1 (utbk 2019) diberikan 7 data, setelah diurutkan, sebagai berikut: Jadi, persentil merupakan pembagian data terurut ke dalam 100 bagian sama banyak. Selain ukuran pemusatan data, ada juga ukuran letak data yang masih merupakan salah satu pengukuran data. Persentil, kuartil, dan desil adalah cara membagi data menjadi sama banyak. Rumus kuartil desil persentil simpangan dan contoh soal. Penjelasan rumus dan contoh soal kuartil, desil, persentil. Contoh soal dan jawaban kuartil, desil, persentil. Tentukan p30 dari data berikut. Desil dan persentil data tunggal.

Posting Komentar untuk "Contoh Soal Persentil / Rumus Desil Lengkap Dengan Contoh - Desil, persentil, dan, jenjang persentil dari suatu distribusi;"